Scalable Synthesis of Citalopram Intermediates via Novel Palladium-Catalyzed Cyanation and Organometallic Coupling
Introduction to Advanced Citalopram Intermediate Manufacturing
The pharmaceutical industry continuously seeks robust synthetic pathways for high-volume antidepressants like citalopram, where supply chain resilience and cost efficiency are paramount. Patent CN111533662B, published in August 2022, introduces a transformative preparation method for the critical intermediate 4-(4-(dimethylamino)-1-(4-fluorophenyl)-1-hydroxybutyl)-3-(hydroxymethyl) benzonitrile. This technology represents a significant departure from legacy processes by leveraging accessible halogenated benzoic acids and modern transition metal catalysis. For R&D directors and procurement strategists, this patent offers a compelling blueprint for cost reduction in pharmaceutical intermediate manufacturing, replacing expensive starting materials and hazardous reagents with commodity chemicals. The disclosed methodology not only streamlines the synthetic sequence but also enhances the overall safety profile, making it an ideal candidate for commercial scale-up of complex pharmaceutical intermediates. By addressing the historical bottlenecks of low yield and difficult purification, this innovation positions manufacturers to deliver high-purity citalopram intermediates with greater reliability and reduced environmental impact.
The Limitations of Conventional Methods vs. The Novel Approach
The Limitations of Conventional Methods
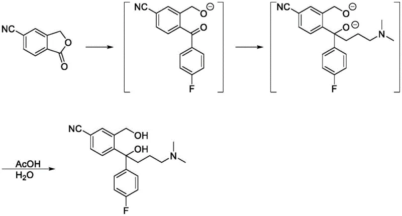
Historically, the synthesis of this key citalopram precursor has been plagued by significant economic and technical hurdles that hinder efficient mass production. Early methodologies, such as those described by Bogeso et al., relied heavily on 5-cyanophthalide as a starting material, necessitating double Grignard reactions that are notoriously sensitive to moisture and temperature fluctuations. As illustrated in the reaction scheme below, these traditional routes often suffer from poor selectivity and require harsh reaction conditions that compromise overall yield.

Furthermore, alternative literature methods attempting to construct the cyano group later in the sequence, such as the oxidation of m-xylene followed by tert-butyl lithium addition, introduce severe safety and environmental liabilities. The use of carbon tetrachloride and heavy metal salts like silver nitrate creates substantial waste disposal challenges, while the reliance on pyrophoric tert-butyl lithium at cryogenic temperatures increases operational risks. These conventional approaches typically require column chromatography for purification, a technique that is economically unviable for multi-ton production, thereby driving up the final cost of goods and limiting supply continuity for downstream API manufacturers.
The Novel Approach
In stark contrast, the novel approach detailed in CN111533662B utilizes a strategic disconnection that begins with readily available 5-chloro-2-bromobenzoic acid or its derivatives. This route elegantly constructs the complex molecular architecture through a sequence of amine substitution, organometallic addition, selective reduction, and finally, a palladium-catalyzed cyanation. By shifting the introduction of the cyano group to the final stages via a robust cross-coupling reaction, the process avoids the instability issues associated with early-stage nitrile handling. The reaction conditions are significantly milder, operating within a practical temperature range of -78°C to 150°C depending on the specific step, and utilize common solvents like THF and DMF. This methodological shift eliminates the need for exotic reagents and enables simple work-up procedures such as crystallization or slurry purification, drastically reducing processing time and solvent consumption.
Mechanistic Insights into Palladium-Catalyzed Cyanation and Organometallic Coupling
The core of this synthetic breakthrough lies in the precise execution of the halogen-metal exchange and the subsequent transition metal-catalyzed cyanation. In the coupling step, a metal reagent such as n-butyllithium or isopropyl magnesium bromide facilitates a halogen-metal exchange on the bromobenzoic acid derivative at low temperatures (-78°C to 0°C). This generates a highly reactive nucleophilic species in situ, which then attacks the carbonyl carbon of the dimethylaminobutanone intermediate. The control of temperature during this exothermic addition is critical to preventing side reactions such as enolization or over-addition, ensuring the formation of the desired tertiary alcohol intermediate with high stereochemical integrity. Following this, the carboxylic acid moiety is selectively reduced to a hydroxymethyl group using borane complexes or modified sodium borohydride systems, a transformation that proceeds with excellent chemoselectivity in the presence of the aryl chloride.
The final and perhaps most commercially significant step is the conversion of the aryl chloride to the aryl nitrile using a transition metal catalyst system. This process typically employs a palladium catalyst, such as Pd(dppf)Cl2, in conjunction with a phosphine ligand and zinc cyanide as the cyanide source. The mechanism involves the oxidative addition of the aryl chloride to the palladium center, followed by transmetallation with the cyanide species and reductive elimination to release the product. This catalytic cycle is highly efficient and tolerant of the sensitive alcohol and amine functionalities present in the molecule. By optimizing the ligand environment and reaction temperature (70-150°C), the process minimizes the formation of dehalogenated byproducts and ensures that the final intermediate meets stringent purity specifications required for API synthesis, effectively solving the impurity profile issues inherent in older routes.
How to Synthesize Citalopram Intermediate Efficiently
The patented process outlines a versatile four-step sequence that can be adapted for both laboratory optimization and industrial manufacturing. The synthesis initiates with the nucleophilic substitution of a chloroketone with dimethylamine to establish the amine side chain, followed by the crucial carbon-carbon bond formation via organolithium or Grignard chemistry. Subsequent reduction of the carboxylic acid and final cyanation complete the assembly of the target molecule. The flexibility of the route allows for variations in the order of reduction and coupling, providing process chemists with options to optimize based on available equipment and raw material logistics. For a detailed breakdown of the specific reaction parameters, stoichiometry, and work-up procedures required to replicate this high-yielding pathway, please refer to the standardized synthesis guide below.
- React 4-chloro-1-(4-fluorophenyl)butan-1-one with dimethylamine to form the ketone intermediate.
- Perform halogen-metal exchange on 5-chloro-2-bromobenzoic acid followed by addition to the ketone intermediate.
- Reduce the resulting carboxylic acid to the corresponding alcohol using borane complexes or sodium borohydride systems.
- Execute a palladium-catalyzed cyanation using zinc cyanide to replace the chloro substituent with a cyano group.
Commercial Advantages for Procurement and Supply Chain Teams
For procurement managers and supply chain directors, the adoption of this synthetic route offers tangible benefits that extend far beyond simple yield improvements. The primary driver of value is the substitution of scarce and expensive starting materials like 5-cyanophthalide with commodity chemicals such as 5-chloro-2-bromobenzoic acid and 4-chloro-1-(4-fluorophenyl)butan-1-one. These feedstocks are produced on a massive global scale, ensuring a stable supply base that is less susceptible to market volatility or single-source bottlenecks. Furthermore, the elimination of column chromatography in favor of crystallization and filtration significantly reduces the consumption of silica gel and large volumes of elution solvents, leading to a drastic simplification of the downstream processing infrastructure.
- Cost Reduction in Manufacturing: The economic impact of this process is profound due to the removal of costly reagents and the simplification of purification steps. By avoiding the use of silver nitrate and carbon tetrachloride, the process eliminates the need for expensive heavy metal scavenging and specialized hazardous waste disposal protocols. Additionally, the high atom economy of the cyanation step and the ability to recycle solvents like THF and DMF contribute to a leaner cost structure. The overall reduction in unit operations translates directly to lower manufacturing costs, allowing suppliers to offer more competitive pricing for high-purity pharmaceutical intermediates without compromising margin.
- Enhanced Supply Chain Reliability: The reliance on widely available raw materials mitigates the risk of supply disruptions that often plague specialty chemical markets. Since the key building blocks are bulk commodities, lead times for raw material acquisition are significantly shortened, enabling faster response to fluctuating demand from API manufacturers. The robustness of the reaction conditions also means that production campaigns can be run with higher success rates and fewer batch failures, ensuring a consistent flow of material to customers. This reliability is crucial for maintaining the continuity of supply for essential antidepressant medications in the global market.
- Scalability and Environmental Compliance: From an EHS (Environment, Health, and Safety) perspective, this route is vastly superior to prior art. The avoidance of pyrophoric tert-butyl lithium in favor of more manageable organometallic reagents, combined with the exclusion of carcinogenic solvents like carbon tetrachloride, greatly reduces the operational hazard profile. The process generates less hazardous waste and utilizes greener reduction methods, aligning with increasingly strict environmental regulations. This compliance ease facilitates smoother regulatory approvals and faster scale-up from pilot plant to multi-ton commercial production, making it an ideal choice for reliable pharmaceutical intermediate suppliers aiming to expand capacity.
Frequently Asked Questions (FAQ)
The following questions address common technical and commercial inquiries regarding the implementation of this synthesis technology. These insights are derived directly from the experimental data and claims within the patent documentation, providing clarity on the feasibility and advantages of the method for potential partners and licensees.
Q: What are the primary advantages of this new synthesis route over traditional methods?
A: The novel route utilizes cheap and easily obtained raw materials like 5-chloro-2-bromobenzoic acid instead of expensive 5-cyanophthalide. It avoids hazardous reagents such as tert-butyl lithium and carbon tetrachloride, significantly improving operational safety and reducing waste treatment costs.
Q: How does the process ensure high purity without column chromatography?
A: The method relies on robust crystallization and slurry purification techniques, such as using n-heptane/ethyl acetate mixtures, rather than labor-intensive column chromatography. This simplifies post-treatment and makes the process highly suitable for large-scale industrial production.
Q: Is the cyanation step compatible with large-scale manufacturing?
A: Yes, the cyanation uses standard transition metal catalysts like Pd(dppf)Cl2 and zinc cyanide under inert gas protection. The reaction conditions (70-150°C) are manageable in standard stainless steel reactors, ensuring excellent scalability and reproducibility.
Partnering with NINGBO INNO PHARMCHEM: Your Reliable Citalopram Intermediate Supplier
At NINGBO INNO PHARMCHEM, we recognize the critical importance of efficient and scalable synthetic routes in the modern pharmaceutical landscape. Our team of expert process chemists has extensively evaluated the technology described in CN111533662B and possesses the extensive experience scaling diverse pathways from 100 kgs to 100 MT/annual commercial production. We are committed to delivering high-purity citalopram intermediates that meet the rigorous quality standards of the global pharmaceutical industry. Our state-of-the-art facilities are equipped with advanced reactor systems capable of handling the specific temperature and pressure requirements of organometallic and catalytic reactions, ensuring stringent purity specifications and rigorous QC labs verify every batch.
We invite forward-thinking pharmaceutical companies and generic drug manufacturers to collaborate with us to leverage this advanced synthesis technology. By partnering with our technical procurement team, you can access a Customized Cost-Saving Analysis tailored to your specific volume requirements and supply chain needs. We encourage you to contact us today to request specific COA data and route feasibility assessments, and let us demonstrate how our commitment to innovation can drive value and security in your antidepressant supply chain.
