Advanced Rhodium-Catalyzed Synthesis of Chiral Isoindolinones for Commercial Pharmaceutical Manufacturing
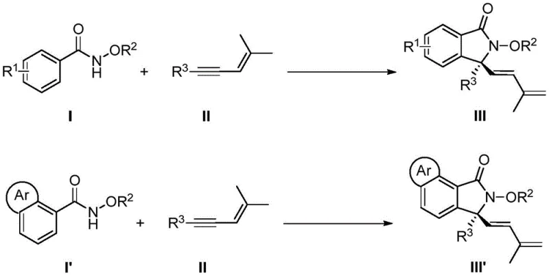
The pharmaceutical industry continuously seeks efficient pathways to access complex chiral scaffolds that serve as critical building blocks for bioactive molecules. Patent CN113735756A introduces a groundbreaking methodology for the synthesis of chiral 3,3-disubstituted isoindolinone compounds, a structural motif prevalent in numerous therapeutic agents. This innovation leverages a sophisticated rhodium-catalyzed cascade reaction involving N-methoxybenzamides and 1,3-enynes. By employing an easily prepared chiral cyclopentadienyl rhodium catalyst, the process achieves remarkable levels of stereocontrol and chemical efficiency. The technology represents a significant leap forward in transition metal-catalyzed C-H functionalization, enabling the direct construction of quaternary carbon centers with high precision. For research and development teams focused on API intermediate synthesis, this patent offers a robust platform for generating diverse molecular libraries with reduced synthetic burden.
From a commercial manufacturing perspective, the ability to construct these complex heterocycles in a single operational step under mild conditions is transformative. Traditional routes often suffer from poor atom economy and require harsh reagents that complicate waste management and safety protocols. In contrast, this rhodium-mediated approach operates at temperatures ranging from 5°C to 15°C, utilizing stable and readily available starting materials. The strategic use of silver difluoride as an oxidant and simple alcohol solvents further streamlines the process workflow. As a reliable pharmaceutical intermediate supplier, understanding such technological advancements allows us to offer clients superior cost structures and faster time-to-market for their drug development programs.
The Limitations of Conventional Methods vs. The Novel Approach
The Limitations of Conventional Methods
Historically, the construction of 3,3-disubstituted chiral isoindolinone skeletons has been a formidable challenge in organic synthesis, often relying on strategies that are inherently inefficient and resource-intensive. Conventional methods typically involve the enantioselective functionalization of pre-existing isoindolinone cores, which necessitates the prior synthesis of the lactam scaffold itself. This multi-step approach not only increases the overall production time but also accumulates impurities at each stage, leading to lower overall yields and difficult purification processes. Furthermore, many traditional protocols require the use of highly reactive or unstable intermediates that demand stringent storage and handling conditions, thereby inflating operational costs. The lack of modularity in these older methods restricts the diversity of substituents that can be introduced, limiting the chemical space available for medicinal chemists to explore during lead optimization phases.
The Novel Approach
The methodology disclosed in the patent data revolutionizes this landscape by utilizing a direct C-H activation strategy that bypasses the need for pre-functionalized substrates. By engaging N-methoxybenzamides directly with 1,3-enynes, the process effectively merges two simple building blocks into a complex chiral architecture through a tandem sequence of C-H bond activation, enyne migration insertion, and nucleophilic cyclization. This [4+1] cyclization strategy is catalyzed by a specialized chiral rhodium complex that creates a highly defined stereochemical environment around the metal center. The result is the formation of the target isoindolinone with exceptional enantiomeric excess, often exceeding 90% ee, without the need for resolution steps. This streamlined approach drastically reduces the number of unit operations required, translating directly into improved process mass intensity and reduced solvent consumption.

Mechanistic Insights into Rhodium-Catalyzed C-H Activation and Cyclization
The success of this transformation hinges on the unique reactivity profile of the chiral cyclopentadienyl rhodium catalyst, which facilitates a complex series of organometallic events with high fidelity. The catalytic cycle initiates with the coordination of the rhodium species to the directing group of the N-methoxybenzamide, promoting the cleavage of the ortho C-H bond to form a stable rhodacycle intermediate. This step is crucial as it sets the stage for the subsequent insertion of the 1,3-enyne substrate. Unlike simple alkynes that act as two-carbon synthons, the enyne in this system functions as a one-carbon synthon following a specific migration pathway. The rhodium center inserts into the alkyne moiety of the enyne, followed by a 1,4-rhodium migration that generates a key allyl-rhodium species. This migration is stereodefining, as the chiral ligand framework dictates the facial selectivity of the insertion event.
Following the migration, the pendant alkene of the enyne undergoes intramolecular nucleophilic attack by the amide nitrogen or the activated aromatic ring, leading to ring closure and the formation of the isoindolinone core. The final step involves protonolysis or oxidative reductive elimination to release the product and regenerate the active rhodium catalyst. The use of silver difluoride as an oxidant is critical in maintaining the catalytic turnover by re-oxidizing the rhodium species to its active state. The structural integrity of the catalyst, particularly the bulky substituents on the cyclopentadienyl ligand as shown in the catalyst diagrams, provides the necessary steric bulk to enforce high enantioselectivity. This precise control over the reaction trajectory ensures that the quaternary stereocenter is established with minimal formation of the undesired enantiomer, which is vital for regulatory compliance in pharmaceutical manufacturing.

How to Synthesize Chiral 3,3-Disubstituted Isoindolinone Efficiently
Implementing this synthesis route requires careful attention to reaction parameters to maximize yield and optical purity. The protocol involves mixing the N-methoxybenzamide substrate with the chiral rhodium catalyst and silver oxidant in an alcohol solvent such as 3-pentanol or ethanol. The reaction is initiated at low temperatures to control the exotherm and ensure high stereocontrol, followed by the slow addition of the enyne coupling partner. Acetic acid is added as an additive to facilitate proton transfer steps within the catalytic cycle. After stirring for a prolonged period of 60 to 80 hours to ensure complete conversion, the reaction is quenched and the crude product is purified via standard chromatographic techniques. Detailed standardized synthesis steps are provided in the guide below to assist process chemists in replicating these results.
- Combine N-methoxybenzamide, chiral cyclopentadienyl rhodium catalyst, and silver difluoride oxidant in an alcohol solvent such as 3-pentanol.
- Cool the reaction mixture to low temperatures (e.g., -15°C) and add the 1,3-enyne substrate along with a carboxylic acid additive like acetic acid.
- Stir the reaction at mild temperatures (5-15°C) for 60-80 hours, then quench with ethylenediamine and purify via silica gel column chromatography.
Commercial Advantages for Procurement and Supply Chain Teams
For procurement managers and supply chain directors, the adoption of this rhodium-catalyzed technology offers tangible benefits that extend beyond mere chemical elegance. The primary advantage lies in the significant reduction of raw material costs and processing time associated with the simplified synthetic route. By eliminating multiple protection and deprotection steps required in conventional syntheses, the overall material throughput is increased, and the consumption of auxiliary reagents is minimized. This efficiency translates directly into a lower cost of goods sold (COGS), allowing for more competitive pricing strategies in the global market. Additionally, the use of stable, commercially available starting materials mitigates the risk of supply chain disruptions caused by the scarcity of exotic intermediates.
- Cost Reduction in Manufacturing: The process utilizes a low loading of the rhodium catalyst, typically between 3 to 5 mol%, which minimizes the expense associated with precious metal usage. Although rhodium is a valuable metal, the high turnover number and the ability to potentially recover the metal from waste streams contribute to substantial cost savings. Furthermore, the mild reaction conditions eliminate the need for energy-intensive heating or cryogenic cooling systems, reducing utility costs. The high atom economy of the [4+1] cyclization ensures that a greater proportion of the input mass ends up in the final product, reducing waste disposal fees and maximizing raw material utilization.
- Enhanced Supply Chain Reliability: The robustness of this method against variations in substrate electronics means that a single set of reaction conditions can be applied to a wide array of derivatives. This flexibility allows manufacturers to respond quickly to changing demands for different analogues without re-validating entirely new processes. The reliance on common solvents like ethanol and 3-pentanol ensures that solvent supply remains stable and cost-effective. Moreover, the stability of the N-methoxybenzamide starting materials allows for long-term storage and bulk purchasing, securing the supply chain against short-term market fluctuations.
- Scalability and Environmental Compliance: Scaling this reaction from gram to kilogram scale is facilitated by the homogeneous nature of the catalysis and the absence of hazardous reagents. The mild temperature profile reduces the thermal load on reactors, enhancing safety during large-scale production. From an environmental standpoint, the high selectivity reduces the generation of isomeric byproducts, simplifying downstream purification and reducing solvent waste. The process aligns well with green chemistry principles by improving step economy and reducing the overall E-factor of the synthesis, which is increasingly important for meeting regulatory environmental standards.
Frequently Asked Questions (FAQ)
The following questions address common technical and commercial inquiries regarding the implementation of this rhodium-catalyzed synthesis. These answers are derived from the experimental data and technical specifications outlined in the patent documentation, providing clarity for potential partners and licensees. Understanding these details is essential for evaluating the feasibility of integrating this technology into existing production pipelines.
Q: What are the primary advantages of this rhodium-catalyzed method over traditional synthesis?
A: This method utilizes direct C-H bond activation, eliminating the need for pre-functionalized substrates and multi-step sequences. It achieves high yields (up to 91%) and excellent enantioselectivity (up to 96% ee) under mild conditions, significantly improving atom and step economy.
Q: Is the chiral rhodium catalyst cost-effective for large-scale production?
A: Yes, the process requires a relatively low catalyst loading of only 3-5 mol%. Furthermore, the catalyst ligands are derived from commercially available chiral cyclopentadienyl precursors, making the overall catalytic system economically viable for industrial scale-up.
Q: What is the substrate scope for this isoindolinone synthesis?
A: The reaction demonstrates broad substrate tolerance, accommodating various electronic and steric properties on the benzamide ring, including alkyl, alkoxy, halogen, and nitro groups. It also accepts diverse 1,3-enyne coupling partners, allowing for the generation of a wide library of chiral scaffolds.
Partnering with NINGBO INNO PHARMCHEM: Your Reliable Chiral 3,3-Disubstituted Isoindolinone Supplier
At NINGBO INNO PHARMCHEM, we recognize the critical role that advanced catalytic technologies play in accelerating drug discovery and development. Our team of expert process chemists possesses extensive experience scaling diverse pathways from 100 kgs to 100 MT/annual commercial production, ensuring that laboratory innovations are successfully translated into industrial reality. We are committed to delivering high-purity pharmaceutical intermediates that meet stringent purity specifications, supported by our rigorous QC labs equipped with state-of-the-art analytical instrumentation. Our capability to handle complex chiral syntheses, such as the rhodium-catalyzed isoindolinone formation described herein, positions us as a strategic partner for your most challenging projects.
We invite you to collaborate with us to leverage this cutting-edge synthesis for your next-generation therapeutics. Contact our technical procurement team today to request a Customized Cost-Saving Analysis tailored to your specific volume requirements. We are ready to provide specific COA data and comprehensive route feasibility assessments to demonstrate how our manufacturing capabilities can optimize your supply chain and reduce your overall development costs.
