Advanced Pd-Catalyzed Carbonylation for Scalable Production of 2-Trifluoromethyl Quinazolinones
Advanced Pd-Catalyzed Carbonylation for Scalable Production of 2-Trifluoromethyl Quinazolinones
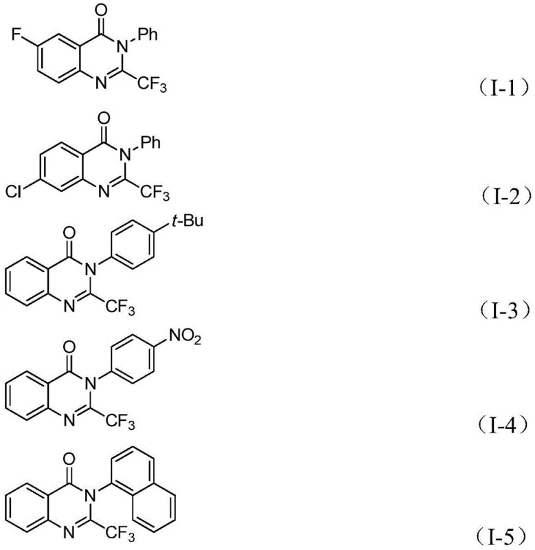
The pharmaceutical industry continuously seeks robust synthetic methodologies for constructing privileged heterocyclic scaffolds, particularly those containing fluorine motifs which enhance metabolic stability and bioavailability. Patent CN112125856A discloses a groundbreaking preparation method for 2-trifluoromethyl substituted quinazolinone derivatives, a core structure prevalent in numerous bioactive molecules ranging from anticonvulsants to anticancer agents. As illustrated in the structural diversity of known drugs below, the quinazolinone backbone is a critical pharmacophore, yet introducing a trifluoromethyl group at the 2-position has historically presented significant synthetic challenges. This new technology leverages a transition metal palladium-catalyzed carbonylation tandem reaction, utilizing inexpensive and readily available starting materials to access these valuable intermediates with high efficiency and operational simplicity.

The limitations of conventional methods for synthesizing 2-trifluoromethyl quinazolinones have long hindered their widespread adoption in process chemistry. Traditional routes often rely on the cyclization of anthranilamides with ethyl trifluoroacetate or trifluoroacetic anhydride, reactions that frequently suffer from harsh conditions, low atom economy, and the requirement for pre-activated substrates. Furthermore, alternative methods involving isatoic anhydrides or T3P-promoted tandem reactions often exhibit narrow substrate scopes and struggle with functional group tolerance, leading to complex purification processes and reduced overall yields. These inefficiencies translate directly into higher production costs and extended lead times, creating bottlenecks for the commercial scale-up of complex pharmaceutical intermediates that rely on this specific heterocyclic core.
The Limitations of Conventional Methods vs. The Novel Approach
The Limitations of Conventional Methods
Historically, the construction of the quinazolinone ring system bearing a trifluoromethyl group has been plagued by safety concerns and reagent instability. Many established protocols necessitate the use of gaseous carbon monoxide, a highly toxic and colorless gas that requires specialized high-pressure equipment and rigorous safety protocols, posing substantial risks in large-scale manufacturing environments. Additionally, the reliance on unstable trifluoroacetamide intermediates or expensive coupling reagents increases the raw material costs significantly. The inability of these older methods to accommodate diverse electronic environments on the aromatic rings limits the medicinal chemist's ability to explore structure-activity relationships (SAR) efficiently, often forcing teams to redesign synthetic routes for each new analog, thereby delaying drug discovery timelines.
The Novel Approach
In stark contrast, the novel approach detailed in the patent utilizes a sophisticated palladium-catalyzed system that operates under much milder and safer conditions. By employing 1,3,5-tricarboxylate phenol ester (TFBen) as a solid carbon monoxide substitute, the process completely avoids the hazards associated with gaseous CO, allowing the reaction to proceed in standard glassware without the need for autoclaves. The reaction couples o-iodoaniline derivatives with trifluoroethylimidoyl chlorides in the presence of a Pd(PPh3)2Cl2 catalyst and dppp ligand. As shown in the general reaction scheme below, this tandem transformation efficiently constructs the quinazolinone core while installing the trifluoromethyl group in a single pot, demonstrating exceptional compatibility with various substituents including halogens, alkyls, and nitro groups.

Mechanistic Insights into Pd-Catalyzed Carbonylation Cyclization
The mechanistic pathway of this transformation is a testament to the elegance of modern organometallic catalysis, proceeding through a well-defined sequence of elementary steps that ensure high selectivity. The reaction is initiated by a base-promoted intermolecular carbon-nitrogen bond coupling between the o-iodoaniline and the trifluoroethylimidoyl chloride, generating a trifluoroacetamidine derivative in situ. Subsequently, the palladium(0) species undergoes oxidative addition into the carbon-iodine bond of the aromatic ring, forming a reactive divalent palladium intermediate. Under the heating conditions of 90°C, the solid CO source TFBen decomposes to release carbon monoxide, which then inserts into the carbon-palladium bond to form a crucial acyl-palladium intermediate.
Following the CO insertion, the base facilitates the formation of a palladium-nitrogen bond, leading to the generation of a seven-membered ring palladium intermediate. This cyclic species then undergoes reductive elimination, releasing the final 2-trifluoromethyl substituted quinazolinone derivative and regenerating the active palladium catalyst to continue the cycle. This intricate mechanism not only explains the high yields observed across different substrates but also highlights the robustness of the catalytic system. The ability of the catalyst to tolerate electron-withdrawing groups like nitro and halogens, as well as bulky groups like naphthyl, underscores the versatility of this method for generating diverse libraries of high-purity pharmaceutical intermediates for screening and development.

How to Synthesize 2-Trifluoromethyl Quinazolinone Efficiently
The operational simplicity of this synthesis makes it highly attractive for both laboratory-scale discovery and pilot-plant production. The procedure involves charging a reaction vessel with the palladium catalyst, ligand, base, solid CO source, and the two primary organic substrates in an aprotic solvent such as tetrahydrofuran (THF). The mixture is then heated to 90°C and stirred for a period ranging from 16 to 30 hours, depending on the specific electronic nature of the substituents. Detailed standardized synthesis steps see the guide below.
- Combine palladium catalyst Pd(PPh3)2Cl2, ligand dppp, base KOt-Bu, solid CO source TFBen, trifluoroethylimidoyl chloride, and o-iodoaniline in anhydrous THF solvent.
- Heat the reaction mixture to 90°C and maintain stirring for 16 to 30 hours to ensure complete conversion via the carbonylation cyclization pathway.
- Upon completion, filter the mixture, adsorb the crude product onto silica gel, and purify via column chromatography to isolate the target quinazolinone derivative.
Commercial Advantages for Procurement and Supply Chain Teams
For procurement managers and supply chain directors, the adoption of this patented methodology offers transformative benefits regarding cost structure and operational risk management. The shift from hazardous gaseous reagents to stable solid alternatives fundamentally alters the safety profile of the manufacturing process, reducing the need for specialized infrastructure and lowering insurance and compliance costs associated with handling toxic gases. Furthermore, the use of commercially available and inexpensive starting materials, such as substituted o-iodoanilines and trifluoroethylimidoyl chlorides, ensures a stable and reliable supply chain, mitigating the risks of raw material shortages that often plague more exotic synthetic routes.
- Cost Reduction in Manufacturing: The elimination of expensive pre-activated substrates and the use of a highly efficient catalytic system significantly lower the bill of materials. By avoiding the need for high-pressure reactors required for gaseous carbon monoxide, capital expenditure for plant equipment is drastically reduced. The high conversion rates and clean reaction profiles minimize downstream purification costs, as less solvent and stationary phase are required for column chromatography or crystallization, leading to substantial overall cost savings in API manufacturing.
- Enhanced Supply Chain Reliability: The robustness of this method against varying substrate electronics means that a single platform technology can be used to produce a wide array of analogs without re-optimizing the entire process. This flexibility allows for rapid response to changing demand signals from R&D departments. Additionally, the starting materials are commodity chemicals with established global supply chains, ensuring consistent availability and reducing the lead time for high-purity pharmaceutical intermediates needed for clinical trial material production.
- Scalability and Environmental Compliance: The use of THF as a solvent and the absence of toxic gas emissions align perfectly with modern green chemistry principles and stringent environmental regulations. The process generates minimal hazardous waste, simplifying disposal and treatment protocols. The mild reaction conditions (90°C) are energy-efficient and easily scalable from gram to kilogram quantities without the thermal runaways often associated with exothermic gas-liquid reactions, ensuring a safe and continuous supply for commercial partners.
Frequently Asked Questions (FAQ)
The following questions address common technical inquiries regarding the implementation and scope of this synthesis technology. These answers are derived directly from the experimental data and mechanistic studies presented in the patent documentation, providing clarity on reaction parameters and substrate limitations for process development teams evaluating this route for their specific projects.
Q: What is the primary safety advantage of this synthesis method compared to traditional carbonylation?
A: This method utilizes TFBen (1,3,5-tricarboxylate phenol ester) as a solid carbon monoxide substitute, completely eliminating the need for handling toxic and hazardous gaseous carbon monoxide, thereby significantly improving operational safety.
Q: Does this catalytic system tolerate diverse functional groups on the substrate?
A: Yes, the protocol demonstrates excellent substrate compatibility, successfully accommodating various substituents such as halogens (F, Cl, Br), alkyl groups, and electron-withdrawing nitro groups on both the aniline and imidoyl chloride components.
Q: What are the typical reaction conditions required for high yields?
A: Optimal results are achieved using THF as the solvent at a temperature of 90°C for a duration of 16 to 30 hours, utilizing a Pd(PPh3)2Cl2/dppp catalyst system with potassium tert-butoxide as the base.
Partnering with NINGBO INNO PHARMCHEM: Your Reliable 2-Trifluoromethyl Quinazolinone Supplier
At NINGBO INNO PHARMCHEM, we recognize the critical role that advanced heterocyclic intermediates play in the development of next-generation therapeutics. Our team possesses extensive experience scaling diverse pathways from 100 kgs to 100 MT/annual commercial production, ensuring that the transition from benchtop discovery to industrial manufacturing is seamless. We adhere to stringent purity specifications and utilize rigorous QC labs to guarantee that every batch of 2-trifluoromethyl quinazolinone derivatives meets the highest quality standards required by global regulatory bodies.
We invite you to collaborate with us to leverage this cutting-edge synthetic technology for your drug development programs. Contact our technical procurement team today to request a Customized Cost-Saving Analysis tailored to your specific volume requirements. We are ready to provide specific COA data and comprehensive route feasibility assessments to demonstrate how our optimized processes can accelerate your timeline to market while maximizing value.
