Advanced Synthesis of Oseltamivir Intermediates: A Technical Breakthrough for Commercial Scale-up
Advanced Synthesis of Oseltamivir Intermediates: A Technical Breakthrough for Commercial Scale-up
The global demand for antiviral therapeutics remains a critical priority for public health infrastructure, with Oseltamivir phosphate (Tamiflu) standing as a cornerstone in the fight against influenza A and B. Patent CN113024486A introduces a robust and highly efficient preparation method for a key Oseltamivir intermediate, specifically the compound of Formula IV. This technical disclosure represents a significant evolution in synthetic strategy, moving away from the cumbersome and hazardous protocols of the past towards a streamlined, high-yield process. For R&D directors and procurement specialists alike, understanding the nuances of this pathway is essential for securing a reliable pharmaceutical intermediate supplier capable of meeting stringent quality and volume requirements. The innovation lies not just in the chemistry itself, but in the holistic optimization of yield, safety, and operational simplicity, addressing long-standing bottlenecks in the supply chain of this vital active pharmaceutical ingredient.

The Limitations of Conventional Methods vs. The Novel Approach
The Limitations of Conventional Methods
Historically, the synthesis of Oseltamivir intermediates has been plagued by inefficiencies that drive up costs and complicate regulatory compliance. As detailed in the background of the patent, earlier routes such as those reported in J. Org. Chem. 1998 suffer from a total yield of only 48-57% over five steps starting from shikimic acid. More critically, these legacy processes rely heavily on boron trifluoride dimethyl sulfide, a reagent known for its toxicity, corrosiveness, and the generation of substantial hazardous waste streams. Similarly, routes described in Org. Process Res. Dev. 1999 involve up to seven steps with key step yields dropping as low as 42%, rendering them economically unviable for large-scale manufacturing. These technical deficits create significant friction for procurement managers seeking cost reduction in pharmaceutical manufacturing, as low yields directly correlate to higher raw material consumption and increased waste disposal costs.
The Novel Approach
In stark contrast, the methodology disclosed in CN113024486A offers a transformative solution by condensing the synthetic sequence and drastically improving overall efficiency. The new route achieves a remarkable total yield of approximately 67%, representing a substantial leap forward in atom economy and process throughput. By utilizing a strategic combination of esterification, Mitsunobu cyclization, and a novel acid-catalyzed substitution, the process eliminates the need for toxic Lewis acids like BF3 complexes. This shift not only enhances the safety profile of the operation but also simplifies the downstream purification stages, making it an ideal candidate for the commercial scale-up of complex pharmaceutical intermediates. The operational simplicity allows for easier technology transfer and more consistent batch-to-batch reproducibility, which are paramount concerns for supply chain heads managing global inventory.

Mechanistic Insights into Acid-Catalyzed Etherification
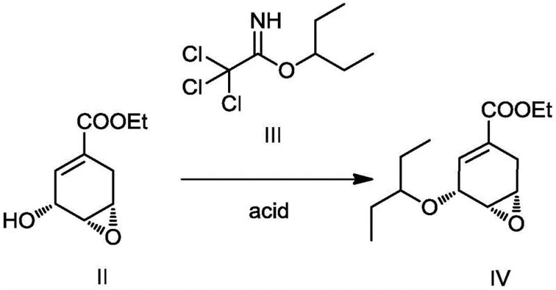
The heart of this innovative synthesis lies in the transformation of the epoxy-alcohol intermediate (Formula II) into the protected ether (Formula IV). This step utilizes a trichloroacetimidate derivative (Formula III) as the alkylating agent under acidic conditions. Mechanistically, the acid catalyst, preferably trifluoromethanesulfonic acid, activates the trichloroacetimidate, generating a highly reactive oxocarbenium-like species or facilitating a direct SN1-type substitution at the secondary alcohol position of the bicyclic framework. The choice of solvent plays a pivotal role here; while the reaction can proceed in THF, toluene, or DMF, dichloromethane (DCM) is identified as the optimal medium, providing a balance of solubility and reaction kinetics that maximizes conversion. The reaction temperature is carefully controlled between 0°C and 100°C, with a preferred window of 20°C to 60°C, ensuring that the sensitive epoxide moiety remains intact while the etherification proceeds to completion.

From an impurity control perspective, this mechanism offers distinct advantages over traditional Williamson ether synthesis or other alkylation methods. The use of the trichloroacetimidate leaving group minimizes side reactions such as elimination or epoxide ring-opening, which are common pitfalls in basic conditions. Furthermore, the byproduct of the reaction is trichloroacetamide, which is relatively easy to remove during the aqueous workup involving sodium bicarbonate washing. This clean reaction profile ensures that the resulting intermediate meets high-purity specifications required for subsequent steps in the API synthesis. For R&D teams, this means less time spent on developing complex chromatographic purifications and more focus on optimizing the crystallization or distillation parameters for final isolation, thereby accelerating the overall development timeline.
How to Synthesize Oseltamivir Intermediate Efficiently
The synthesis protocol outlined in the patent provides a clear, step-by-step guide for producing the target intermediate with high fidelity. Starting from the abundant natural product shikimic acid, the process first converts the carboxylic acid to its ethyl ester using thionyl chloride in ethanol, achieving near-quantitative yields. This is followed by an intramolecular Mitsunobu reaction to construct the critical 7-oxabicyclo[4.1.0]heptene core. The final and most crucial step involves the coupling with the pentan-3-yl side chain. Detailed standardized synthesis steps see the guide below.
- Perform esterification of Shikimic acid using ethanol and thionyl chloride at 70-80°C to obtain ethyl trihydroxycyclohexenecarboxylate.
- Execute an intramolecular Mitsunobu reaction using DEAD and triphenylphosphine in THF to form the epoxy-alcohol intermediate (Formula II).
- React Formula II with trichloroacetimidate pentyl ester (Formula III) using trifluoromethanesulfonic acid as a catalyst to yield the final ether intermediate (Formula IV).
Commercial Advantages for Procurement and Supply Chain Teams
For procurement managers and supply chain leaders, the adoption of this synthetic route translates into tangible strategic benefits beyond mere chemical elegance. The primary value driver is the significant enhancement in process efficiency, which directly impacts the cost of goods sold (COGS). By eliminating the use of hazardous reagents like boron trifluoride dimethyl sulfide, the facility reduces its exposure to strict environmental regulations and the associated costs of specialized waste treatment. This qualitative improvement in the safety and environmental profile of the manufacturing process ensures long-term operational continuity and reduces the risk of regulatory shutdowns, a critical factor for maintaining a reliable supply of pharmaceutical intermediates.
- Cost Reduction in Manufacturing: The dramatic increase in total yield from roughly 50% in legacy processes to 67% in this new method implies a massive reduction in raw material consumption per kilogram of product. Fewer synthetic steps and higher yields mean less solvent usage, lower energy consumption for heating and cooling, and reduced labor hours per batch. Additionally, the avoidance of expensive and difficult-to-handle reagents further drives down the variable costs of production, allowing for more competitive pricing structures in the global market without compromising margin.
- Enhanced Supply Chain Reliability: The reliance on commodity chemicals such as ethanol, thionyl chloride, and common organic solvents ensures that the supply chain is robust and resilient to disruptions. Unlike processes that depend on bespoke or scarce catalysts, this route utilizes widely available reagents, minimizing the risk of raw material shortages. The simplified post-treatment procedure, which involves standard extraction and concentration rather than complex chromatography, also shortens the cycle time per batch, enabling manufacturers to respond more agilely to fluctuations in market demand for Oseltamivir.
- Scalability and Environmental Compliance: The mild reaction conditions and the absence of toxic heavy metals or corrosive gases make this process inherently scalable from pilot plant to multi-ton commercial production. The ease of handling the trichloroacetimidate reagent and the straightforward workup procedures facilitate a smoother technology transfer to manufacturing sites. Furthermore, the reduced generation of hazardous waste aligns with modern green chemistry principles, helping companies meet their sustainability goals and adhere to increasingly stringent environmental, social, and governance (ESG) criteria demanded by stakeholders.
Frequently Asked Questions (FAQ)
The following questions address common technical and commercial inquiries regarding the implementation of this synthesis route. These insights are derived directly from the experimental data and comparative analysis provided in the patent documentation, offering clarity on the practical aspects of adopting this technology for industrial applications.
Q: What are the primary advantages of this synthesis route over prior art?
A: This method achieves a total yield of approximately 67%, significantly higher than the 48-57% reported in J. Org. Chem. 1998. It also eliminates the use of toxic and corrosive boron trifluoride dimethyl sulfide, simplifying waste treatment and improving environmental compliance.
Q: Which acid catalysts are suitable for the key etherification step?
A: The patent specifies a range of acids including methanesulfonic acid, trifluoromethanesulfonic acid (preferred), benzenesulfonic acid, and p-toluenesulfonic acid. Trifluoromethanesulfonic acid provides optimal yields around 90% in dichloromethane.
Q: Is this process scalable for industrial production?
A: Yes, the process utilizes common solvents like DCM, THF, and toluene, and avoids cryogenic conditions or highly unstable reagents. The simple post-treatment involving extraction and concentration makes it highly suitable for commercial scale-up.
Partnering with NINGBO INNO PHARMCHEM: Your Reliable Oseltamivir Intermediate Supplier
At NINGBO INNO PHARMCHEM, we recognize the critical importance of high-quality intermediates in the pharmaceutical value chain. Our team possesses extensive experience scaling diverse pathways from 100 kgs to 100 MT/annual commercial production, ensuring that the transition from laboratory bench to industrial reactor is seamless and efficient. We are committed to delivering products that meet stringent purity specifications through our rigorous QC labs, guaranteeing that every batch of Oseltamivir intermediate conforms to the highest international standards. Our expertise in process optimization allows us to leverage innovations like the one described in CN113024486A to provide our partners with superior materials that drive their own success.
We invite you to engage with our technical procurement team to discuss how this advanced synthesis route can benefit your specific project needs. By requesting a Customized Cost-Saving Analysis, you can gain a deeper understanding of the economic potential of switching to this more efficient method. We encourage you to contact us today to obtain specific COA data and route feasibility assessments tailored to your production requirements, ensuring a partnership built on transparency, quality, and mutual growth.
