Advanced One-Pot Synthesis of 2-Trifluoromethyl Quinazolinones for Commercial Scale-Up
Advanced One-Pot Synthesis of 2-Trifluoromethyl Quinazolinones for Commercial Scale-Up
The pharmaceutical and agrochemical industries are constantly seeking robust synthetic routes for heterocyclic scaffolds that offer both metabolic stability and potent biological activity. Patent CN112480015B discloses a groundbreaking multi-component one-pot method for synthesizing 2-trifluoromethyl substituted quinazolinones, a class of compounds renowned for their antifungal, antiviral, and anticancer properties. This technology represents a significant leap forward in process chemistry, addressing the critical need for efficient, scalable, and safe manufacturing protocols for high-value intermediates. By leveraging a palladium-catalyzed carbonylation cascade, this invention enables the direct transformation of inexpensive nitro compounds into complex heterocycles without the need for hazardous high-pressure carbon monoxide gas.
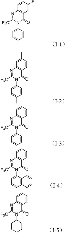
The strategic incorporation of the trifluoromethyl group is particularly noteworthy for medicinal chemists, as fluorine atoms dramatically enhance the lipophilicity, metabolic stability, and bioavailability of the parent molecule. As illustrated in the structural diversity of known bioactive quinazolinones, the ability to rapidly access these fluorinated analogs is a key competitive advantage in drug development pipelines. This report analyzes the technical merits and commercial implications of this novel synthesis route for R&D directors and procurement strategists alike.

The Limitations of Conventional Methods vs. The Novel Approach
The Limitations of Conventional Methods
Historically, the construction of the quinazolinone core has relied on methodologies that impose severe constraints on industrial scalability and operational safety. Traditional routes often necessitate the use of high-pressure carbon monoxide atmospheres, which require specialized reactor infrastructure and rigorous safety protocols to mitigate the risks of gas leakage and toxicity. Furthermore, many existing catalytic systems depend on expensive ruthenium or platinum catalysts, which not only inflate the raw material costs but also introduce challenges in removing trace heavy metal residues to meet stringent pharmaceutical purity standards. Another significant bottleneck is the reliance on pre-activated substrates, such as acid anhydrides or 2-bromoformylanilines, which add extra synthetic steps, generate additional waste, and reduce the overall atom economy of the process.
The Novel Approach
The methodology described in CN112480015B circumvents these historical bottlenecks through an elegant multi-component coupling strategy. By utilizing molybdenum hexacarbonyl (Mo(CO)6) as a solid carbon monoxide surrogate, the reaction proceeds under standard thermal conditions without the need for pressurized gas equipment. The use of palladium chloride paired with a dppp ligand creates a highly active catalytic system that tolerates a wide range of functional groups. This approach transforms cheap and abundant nitro compounds directly into the target heterocycle in a single pot, drastically simplifying the workflow. The reaction conditions are optimized at 120°C in 1,4-dioxane, providing a balance between reaction rate and selectivity that is ideal for large-scale production.

Mechanistic Insights into Pd-Catalyzed Carbonylation Cascade
Understanding the mechanistic pathway is crucial for R&D teams aiming to optimize this process for specific analogs. The reaction initiates with the reduction of the nitro compound to an amine intermediate by Mo(CO)6, which simultaneously serves as the carbon source. This in situ generation of the amine prevents the isolation of potentially unstable intermediates. Subsequently, a base-promoted intermolecular coupling occurs between the generated amine and the trifluoroethylimidoyl chloride, forming a trifluoroacetamidine derivative. The palladium catalyst then inserts into the carbon-iodine bond of the imidoyl chloride moiety, generating a divalent palladium species.
As the temperature rises, Mo(CO)6 releases carbon monoxide, which inserts into the carbon-palladium bond to form an acyl-palladium intermediate. This step is critical for building the carbonyl functionality of the quinazolinone ring. Under the influence of the base, a palladium-nitrogen bond forms, closing the seven-membered cyclic palladium intermediate before undergoing reductive elimination to release the final 2-trifluoromethyl substituted quinazolinone product. This intricate cascade ensures high chemoselectivity, minimizing the formation of side products such as ureas or simple amides, thereby simplifying downstream purification and enhancing the overall yield profile.
How to Synthesize 2-Trifluoromethyl Quinazolinone Efficiently
The operational simplicity of this protocol makes it highly attractive for process development teams looking to transition from milligram-scale discovery to kilogram-scale production. The procedure involves charging a reactor with the palladium catalyst, ligand, base, CO source, and substrates in an aprotic solvent, followed by heating. The robustness of the system allows for a reaction window of 16 to 30 hours, providing flexibility in scheduling without compromising conversion. For detailed standardized operating procedures and safety guidelines regarding the handling of Mo(CO)6 and palladium catalysts, please refer to the technical documentation below.
- Combine palladium chloride, dppp ligand, sodium carbonate, Mo(CO)6, trifluoroethylimidoyl chloride, and nitro compound in an organic solvent such as 1,4-dioxane.
- Heat the reaction mixture to 120°C and maintain stirring for 16 to 30 hours to allow the carbonylation cascade to proceed.
- Upon completion, filter the mixture, mix with silica gel, and purify via column chromatography to isolate the target quinazolinone.
Commercial Advantages for Procurement and Supply Chain Teams
From a supply chain perspective, this technology offers transformative benefits by decoupling production from volatile raw material markets and complex infrastructure requirements. The shift from high-pressure gas chemistry to solid-state reagents fundamentally alters the risk profile and capital expenditure needed for manufacturing facilities. Procurement managers will find the sourcing landscape significantly improved, as the primary starting materials—nitro compounds and imidoyl chlorides—are commodity chemicals available from multiple global suppliers, reducing the risk of single-source dependency.
- Cost Reduction in Manufacturing: The elimination of high-pressure carbon monoxide equipment results in substantial capital savings and reduced maintenance costs associated with specialized reactors. Furthermore, the use of inexpensive nitro compounds instead of pre-activated amines or acid anhydrides lowers the bill of materials significantly. The one-pot nature of the reaction reduces solvent consumption, energy usage for intermediate isolations, and labor hours, leading to a drastically simplified cost structure for the final API intermediate.
- Enhanced Supply Chain Reliability: By utilizing widely available commodity chemicals like nitrobenzenes and simple alkyl halides, the supply chain becomes more resilient to disruptions. The process does not rely on exotic or custom-synthesized precursors that often have long lead times. The robustness of the catalytic system ensures consistent batch-to-batch quality, which is essential for maintaining continuous supply agreements with downstream pharmaceutical partners who demand rigorous adherence to quality specifications.
- Scalability and Environmental Compliance: The replacement of toxic CO gas with a solid surrogate enhances workplace safety and simplifies regulatory compliance regarding hazardous air pollutants. The reaction generates less waste compared to multi-step traditional routes, aligning with green chemistry principles. The demonstrated scalability to gram levels in the patent suggests a clear path to ton-scale production, supported by the use of standard organic solvents like 1,4-dioxane which are easily recovered and recycled in modern chemical plants.

Frequently Asked Questions (FAQ)
The following questions address common technical inquiries regarding the implementation of this synthesis route. These answers are derived directly from the experimental data and scope defined in the patent literature, providing clarity on substrate tolerance and reaction parameters. Understanding these nuances is vital for project managers evaluating the feasibility of this route for specific target molecules.
Q: What are the advantages of using nitro compounds over pre-activated amines in this synthesis?
A: Nitro compounds are significantly cheaper and more readily available than pre-activated amines or acid anhydrides. This method eliminates the need for harsh pre-activation steps, streamlining the supply chain and reducing raw material costs.
Q: Does this process require high-pressure carbon monoxide equipment?
A: No, the process utilizes Mo(CO)6 as a solid carbon monoxide substitute. This removes the safety hazards and capital expenditure associated with high-pressure gas cylinders and specialized reactors, making it safer for scale-up.
Q: What is the substrate scope for the R2 group in the quinazolinone structure?
A: The method demonstrates excellent compatibility with various groups including C1-C10 alkyl, cycloalkyl, and substituted or unsubstituted aryl groups, allowing for the synthesis of diverse derivatives for drug discovery.
Partnering with NINGBO INNO PHARMCHEM: Your Reliable 2-Trifluoromethyl Quinazolinone Supplier
At NINGBO INNO PHARMCHEM, we recognize the strategic value of advanced heterocyclic intermediates in accelerating drug discovery timelines. Our team possesses extensive experience scaling diverse pathways from 100 kgs to 100 MT/annual commercial production, ensuring that your project can seamlessly transition from clinical trials to market launch. We maintain stringent purity specifications and operate rigorous QC labs equipped with state-of-the-art analytical instrumentation to guarantee that every batch of 2-trifluoromethyl quinazolinone meets the highest international standards for pharmaceutical applications.
We invite you to collaborate with us to leverage this cutting-edge synthesis technology for your pipeline. Contact our technical procurement team today to request a Customized Cost-Saving Analysis tailored to your specific volume requirements. We are prepared to provide specific COA data and comprehensive route feasibility assessments to support your regulatory filings and supply chain planning.
