Advanced Palladium-Catalyzed Carbonylation for Scalable 2-Trifluoromethyl Quinazolinone Production
Advanced Palladium-Catalyzed Carbonylation for Scalable 2-Trifluoromethyl Quinazolinone Production
The pharmaceutical industry continuously seeks robust synthetic methodologies to access privileged scaffolds that underpin modern drug discovery. Patent CN112125856A introduces a groundbreaking preparation method for 2-trifluoromethyl substituted quinazolinone derivatives, a class of compounds renowned for their extensive biological activities ranging from anticonvulsant to anticancer properties. As illustrated in the structural diversity of known bioactive molecules, the quinazolinone core is a critical motif found in numerous clinical candidates and approved drugs. This novel technology addresses the longstanding challenges associated with introducing trifluoromethyl groups into these heterocyclic systems, offering a pathway that is not only chemically efficient but also operationally safer for large-scale manufacturing environments.

The significance of this innovation lies in its ability to streamline the production of high-purity pharmaceutical intermediates. By leveraging a transition metal palladium-catalyzed carbonylation tandem reaction, the process circumvents the limitations of classical cyclization methods which often suffer from harsh conditions or narrow substrate scope. For R&D directors and process chemists, this represents a viable strategy for optimizing impurity profiles and enhancing overall yield. Furthermore, the use of readily available starting materials positions this technology as a cornerstone for cost-effective supply chain strategies in the competitive landscape of fine chemical intermediates.
The Limitations of Conventional Methods vs. The Novel Approach
The Limitations of Conventional Methods
Historically, the synthesis of 2-trifluoromethyl substituted quinazolinones has been fraught with significant technical hurdles that impede efficient commercial scale-up of complex heterocycles. Traditional routes often rely on the cyclization of anthranilamides with ethyl trifluoroacetate or trifluoroacetic anhydride, processes that frequently demand rigorous reaction conditions and expensive pre-activated substrates. Another common approach involves the use of unstable trifluoroacetamides or isatoic anhydrides, which can lead to inconsistent yields and difficult purification protocols. Moreover, many legacy methods necessitate the direct use of carbon monoxide gas, a highly toxic and hazardous reagent that imposes severe safety constraints and infrastructure costs on manufacturing facilities. These factors collectively contribute to elevated production costs and extended lead times, creating bottlenecks for reliable pharmaceutical intermediate supplier networks.
The Novel Approach
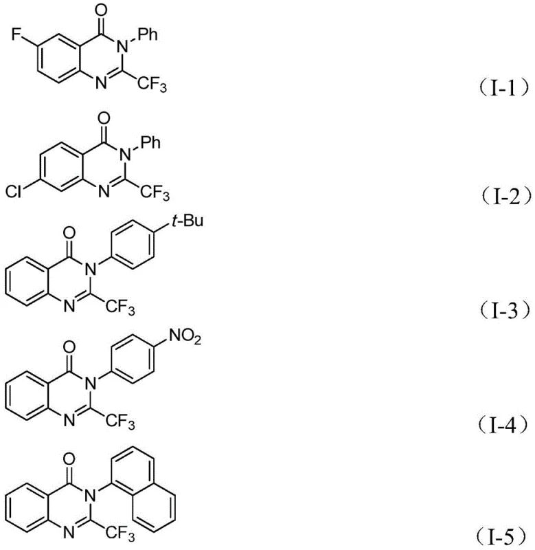
In stark contrast, the methodology disclosed in patent CN112125856A employs a sophisticated palladium-catalyzed system that utilizes 1,3,5-tricarboxylate phenol ester (TFBen) as a solid carbon monoxide substitute. This strategic substitution eliminates the risks associated with gaseous CO while maintaining high reaction efficiency. The process initiates with inexpensive o-iodoaniline and trifluoroethylimidoyl chloride, reacting under mild thermal conditions to generate the target scaffold with remarkable precision. As demonstrated by the successful synthesis of various derivatives shown below, this approach exhibits exceptional functional group tolerance, accommodating electron-withdrawing and electron-donating groups alike. This versatility ensures that the method is not merely a laboratory curiosity but a robust platform for cost reduction in API manufacturing, enabling the rapid generation of diverse compound libraries for drug screening programs.

Mechanistic Insights into Palladium-Catalyzed Carbonylation Tandem Reaction
The mechanistic pathway of this transformation is a testament to the elegance of modern organometallic chemistry, proceeding through a well-defined catalytic cycle that ensures high selectivity. The reaction likely commences with a base-promoted intermolecular carbon-nitrogen bond coupling between the amine and the imidoyl chloride, generating a trifluoroacetamidine intermediate in situ. Subsequently, the palladium catalyst inserts into the carbon-iodine bond of the aromatic ring, forming a reactive divalent palladium species. Under the applied thermal conditions, the solid CO source TFBen decomposes to release carbon monoxide, which then inserts into the carbon-palladium bond to create an acyl palladium intermediate. This key step is followed by base-assisted cyclization to form a seven-membered palladium ring, which finally undergoes reductive elimination to release the desired 2-trifluoromethyl quinazolinone product and regenerate the active catalyst.

Understanding this mechanism is crucial for controlling the impurity profile of the final product. The use of a specific ligand system, such as dppp, alongside the palladium precursor, stabilizes the catalytic intermediates and prevents off-cycle decomposition pathways that could lead to side products. The choice of potassium tert-butoxide as the base is also critical, as it facilitates the initial coupling and the final cyclization steps without promoting hydrolysis of the sensitive imidoyl chloride moiety. For quality control teams, this mechanistic clarity allows for the implementation of rigorous QC labs and stringent purity specifications, ensuring that the resulting intermediates meet the exacting standards required for downstream pharmaceutical applications. The ability to tune the electronic properties of the catalyst system further enhances the reproducibility of the process across different batch sizes.
How to Synthesize 2-Trifluoromethyl Quinazolinone Efficiently
The operational simplicity of this synthesis makes it highly attractive for process development teams aiming to transfer technology from the bench to the pilot plant. The procedure involves charging a reaction vessel with the palladium catalyst, ligand, base, solid CO source, and the two primary organic substrates in an aprotic solvent such as tetrahydrofuran. The mixture is then heated to a moderate temperature of 90°C and maintained for a period ranging from 16 to 30 hours, depending on the specific electronic nature of the substituents. Detailed standardized synthesis steps see the guide below.
- Combine palladium catalyst, dppp ligand, potassium tert-butoxide, TFBen, trifluoroethylimidoyl chloride, and o-iodoaniline in an organic solvent like THF.
- Heat the reaction mixture to 90°C and maintain stirring for 16 to 30 hours to ensure complete conversion.
- Upon completion, filter the mixture, mix with silica gel, and purify via column chromatography to isolate the target derivative.
Commercial Advantages for Procurement and Supply Chain Teams
From a procurement perspective, this patented technology offers substantial strategic benefits that extend beyond mere chemical yield. The shift away from hazardous gaseous reagents to stable solid alternatives significantly de-risks the manufacturing process, thereby enhancing supply chain reliability and reducing insurance and compliance overheads. Furthermore, the reliance on commercially available and inexpensive starting materials like o-iodoaniline derivatives ensures a stable supply base that is less susceptible to market volatility. This stability is paramount for supply chain heads who must guarantee continuous production schedules for critical drug substances without interruption due to raw material shortages.
- Cost Reduction in Manufacturing: The elimination of toxic carbon monoxide gas removes the need for specialized high-pressure equipment and complex gas handling infrastructure, leading to significant capital expenditure savings. Additionally, the use of cheap and abundant starting materials combined with a catalytic system that operates at low loading levels drastically reduces the bill of materials cost. The simplified post-treatment process, which involves standard filtration and chromatography, minimizes labor and utility consumption, contributing to overall operational efficiency and margin improvement.
- Enhanced Supply Chain Reliability: By utilizing a solid carbon monoxide surrogate, the process becomes inherently safer and easier to manage logistically, removing the regulatory burdens associated with transporting and storing hazardous gases. The broad substrate scope means that a single manufacturing line can be adapted to produce a wide variety of derivatives, increasing asset utilization and flexibility. This adaptability allows manufacturers to respond quickly to changing market demands, ensuring that customers receive their orders on time and reducing lead time for high-purity pharmaceutical intermediates.
- Scalability and Environmental Compliance: The reaction conditions are mild and compatible with standard stainless steel reactors, facilitating seamless scale-up from kilogram to multi-ton production scales. The avoidance of toxic gases aligns with increasingly stringent environmental regulations, reducing the facility's environmental footprint and simplifying waste disposal protocols. This green chemistry approach not only protects the environment but also enhances the corporate social responsibility profile of the manufacturing entity, making it a more attractive partner for global pharmaceutical companies.
Frequently Asked Questions (FAQ)
The following questions address common technical and commercial inquiries regarding this synthesis method, derived directly from the patent specifications and experimental data. These insights are intended to clarify the practical implications of adopting this technology for industrial applications. Understanding these details helps stakeholders make informed decisions about process integration and resource allocation.
Q: What is the primary safety advantage of this synthesis method compared to traditional carbonylation?
A: This method utilizes 1,3,5-tricarboxylate phenol ester (TFBen) as a solid carbon monoxide substitute, effectively eliminating the need for handling toxic and hazardous carbon monoxide gas directly.
Q: Does this catalytic system support a broad range of substrate substituents?
A: Yes, the protocol demonstrates excellent compatibility with various substituents including halogens, alkyl groups, and nitro groups on both the aniline and imidoyl chloride components, allowing for diverse derivative synthesis.
Q: What are the typical reaction conditions required for this transformation?
A: The reaction typically proceeds in an aprotic solvent such as THF at 90°C for 16 to 30 hours, using a palladium catalyst system with dppp ligand and potassium tert-butoxide as the base.
Partnering with NINGBO INNO PHARMCHEM: Your Reliable 2-Trifluoromethyl Quinazolinone Supplier
At NINGBO INNO PHARMCHEM, we recognize the transformative potential of this palladium-catalyzed carbonylation technology for the next generation of therapeutic agents. As a premier CDMO partner, we possess extensive experience scaling diverse pathways from 100 kgs to 100 MT/annual commercial production, ensuring that your project transitions smoothly from development to market. Our state-of-the-art facilities are equipped with rigorous QC labs capable of meeting stringent purity specifications, guaranteeing that every batch of 2-trifluoromethyl quinazolinone delivered meets the highest international standards for quality and consistency.
We invite you to collaborate with us to leverage this advanced synthetic route for your specific drug development needs. Our technical procurement team is ready to provide a Customized Cost-Saving Analysis tailored to your volume requirements, demonstrating exactly how this method can optimize your budget. Please contact us today to request specific COA data and comprehensive route feasibility assessments, and let us help you secure a competitive advantage in the global pharmaceutical market.
